Por Leo Lettieri
Según el padrón definitivo, los montenses votarán en 64 mesas distribuidas entre la ciudad cabecera, San Miguel del Monte, y las localidades de Abbott, Videla Dorna y Berra.

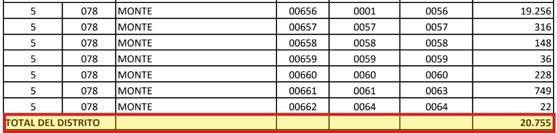
En el año 2023, el número total de votantes habilitados fue 20.967, es decir, 212 más que este año. En tanto, en las legislativas del 2021, el padrón de Monte registraba 19.986 electores. Asimismo, 790 extranjeros podrán elegir representantes, lo que implica una variación del 4,36% respecto el 2023 (757 votantes extranjeros).
En estas elecciones, se elegirán 7 concejales titulares, 2 consejeros escolares y 5 senadores provinciales.

Monte forma parte de los 27 partidos que integran la Quinta Sección Electoral, que cuenta con un total de 1.290.948 votantes.
A nivel provincial, 13.361.359 personas están habilitadas para votar, distribuidas en 38.788 mesas.
La resolución de la Junta Electoral indica que el padrón definitivo, proporcionado por el Juzgado Federal Nº1 con competencia electoral en Buenos Aires, será utilizado en los comicios provinciales del próximo 7 de septiembre.
















